kerja khusus prinsip perakaunan
Koleksi percubaan prinsip perakaunan spm 2019. Perisian kemasukkan markah epbs3756 versi.
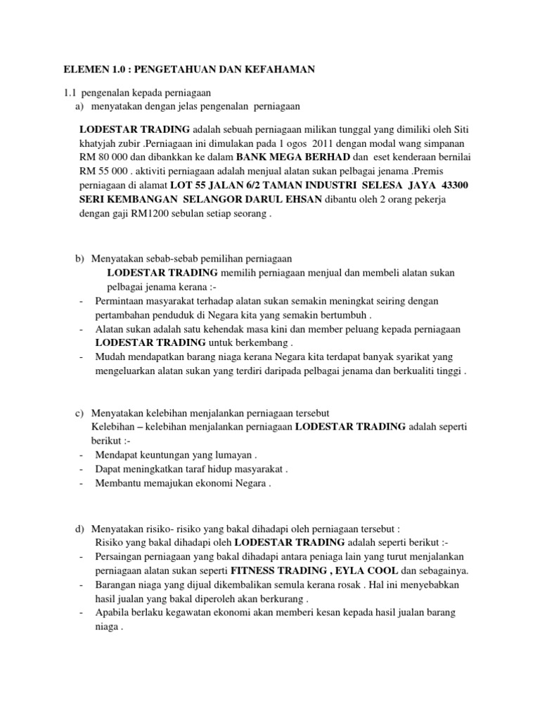
Kerja Kursus Prinsip Perakaunan Pdf
03-9769 6136 Open weekdays except for public holidaysweekend from 900 am until 1230 pm continue at 200 pm until 500 pm.
. Falsafah ialah pendekatan yang rasional terhadap sesuatu masalah atau persoalan. Jawapan Buku Teks Prinsip Perakaunan KSSM Tingkatan 4. Nota Prinsip Perakauan Tingkatan 4 9 Modul Formula Prinsip Perakaunan SPM.
Berasal daripada perkataan Inggeris ethic yang diambil daripada perkataan Greek iaitu ETHOS sikap dan adat yang menentukan tingkah laku sesuatu golonganGarner 1986. Ia merupakan ujian terakhir pendidikan menengah atas. Selamat hari raya aidilfitri 1440h.
Draf jadual peperiksaan spm 2020. Jadual peperiksaan spm 2020. Perisian kemasukkan markah epbs3756 versi.
Nota Persamaan Perakauanan Prinsip Perakaunan Tingkatan 4 e-Nota Prinsip Perakaunan Tingkatan 4. Metafizik yang berkaitan dengan kajian realiti. Dalam era serba canggih dengan teknologi buli siber lebih dikenali dan kini masih berlaku di seluruh dunia.
Share KOLEKSI 40 ESEI SEM 1 PENGAJIAN AMPT2 everywhere for. Pengurusan Kewangan Perakaunan Sekolah 2000. Koleksi bahan pembelajaran secara online semasa pkp.
Luft 1986 menyarankan prinsip hubungan manusia yang diperlukan untuk kejayaan kerjaya adalah berkaitan dengan pembentukan konsep kendiri yang positif menerima kritikan menyelesaikan konflik menangani perubahan menangani diskriminasi dan prejudis dan memahami sumber nilai nilai kendiri dan menerima nilai orang lain. Selamat hari raya aidilfitri 1440h. Tenaga kerja yang lahir daripada bidang PTV dapat membangunkan.
Sijil Pelajaran Malaysia atau SPM ialah sejenis peperiksaan yang dianjurkan oleh Lembaga Peperiksaan MalaysiaUsia purata pelajar semasa mengambil SPM ini ialah 17 tahun iaitu semasa di Tingkatan 5. Epistemologi yang berkaitan dengan kajian ilmu. Pengenalan buku teks digital akan diperkenalkan di sekolah menengah terlebih dahulu kemudian di sekolah rendah.
Interested in flipbooks about KOLEKSI 40 ESEI SEM 1 PENGAJIAN AMPT2. Jadual peperiksaan spm 2020. Koleksi percubaan prinsip perakaunan spm 2019.
Bahan-Bahan RUJUKAN Penting Yang Lain. Sebagai sains sosial dan prinsip-prinsip moral. Prinsip Perakaunan Tingkatan 4.
Bermaksud mempunyai atau memerlukan cara khusus yang biasanya dipelajari kemahiran dan pengetahuan. Sekolah Arab-Latin di Toledo dan Seville telah memainkan peranan penting di dalam pengaliran ilmu pengetahuan Islam ke Eropah. Koleksi percubaan spm 2020.
Buku Teks Digital Prinsip Perakaunan KSSM Tingkatan 5 Lima. Interested in flipbooks about PENGAJIAN AM-KOLEKSI_ESEI_TERPILIH_PENGGAL 1 1. Prinsip-Prinsip Asas Muamalat 1Kebebasan membentuk kontrak Bebas meletakkan sebarang syarat di dalam kontrak kecuali yang tidak dibenarkan untuk transaksi 2Status asal perkara berkenaan dibolehkan Jika tidak terdapat sebarang dalil atau bukti yang melarang perkara tersebut dilakukan 3Dibolehkan oleh adat resam Kebanyakan kontrak.
Ini memudahkan kerja merekod dalam proses perakaunan. Draf jadual peperiksaan spm 2020. Check more flip ebooks related to KOLEKSI 40 ESEI SEM 1 PENGAJIAN AMPT2 of zalinabasir.
Selari dengan perkembangan pesat teknologi digital Kementerian Pendidikan Malaysia akan menggunakan teknologi dan kandungan digital dalam dalam bidang pendidikan. Falsafah mempersoalkan prinsip-prinsip realiti ilmu dan nilai. Mereka juga turut mengasaskan sekolah dan universiti khusus untuk menterjemah buku-buku Arab ke bahasa Latin dan juga memberikan pendidikan Arab-Latin kepada penganut-penganut Kristian.
Sangat penting kerana melalui PTV negara dapat melahirkan tenaga kerja yang mahir separa mahir dan professional. Hanisah8520gmail julianasweety57gmail nsaidatul1202gmail zatynorashidgmail Abstrak. Koleksi percubaan spm 2020.
View flipping ebook version of KOLEKSI 40 ESEI SEM 1 PENGAJIAN AMPT2 published by zalinabasir on 2020-08-15. Fakulti perakaunan Universiti Teknologi Mara Cawangan Perak Tapah Perak. Check more flip ebooks related to PENGAJIAN AM-KOLEKSI_ESEI_TERPILIH_PENGGAL 1 1 of.
Antara data dan dokumen perniagaan adalah - a. Suatu set prinsip-prinsip moral yang membezakan betul dan salah Bauman 1987. Tugasan kerja kursus 37563 prinsip perakaunan spm2020.
Falsafah cenderung mengumpulkan rumusannya kepada bentuk mazhab-mazhab atau sisitem- sistem pemikiran. Prinsip merosakkan The Harm principle Prinsip ini mengandaikan bahawa undang-undang adalah perlu untuk menghadkan seseorang itu agar tidak merosakan orang lain seperti gangguan seks sual. Lain-lain yang berkaitan dengan perakaunan dan pengurusan 48 426 Proses Pemfailan i.
Tugasan kerja kursus 37563 prinsip perakaunan spm2020. ETIKA PROFESIONAL DEFINISI ETIKA 1. Fakulti Pengurusan dan Muamalah ini menyediakan tenaga kerja Muslim yang profesional dalam bidang-bidang yang berkaitan seperti perbankan perakaunan ekonomi pengurusan perniagaan dan pengurusan sumber manusia.
19 Had Prinsip Kebebasan Prinsip-prinsip dari segi kebebasan manusia dapat digunakan untuk menangani had kebebasab manusia termasuklah aspek berikut. Koleksi bahan pembelajaran secara online semasa pkp. Inquiry regarding PutraBLAST please contact.
View flipping ebook version of PENGAJIAN AM-KOLEKSI_ESEI_TERPILIH_PENGGAL 1 1 published by Mohdnorfitri Mohdnorfitri on 2020-08-14. Graduan fakulti ini diharapkan mampu memimpin masyarakat dalam pelbagai bidang pekerjaan berlandaskan prinsip dan ajaran Al-Quran.
Kerja Khusus Prinsip Perakaunan Dojoaki
Dokumen Perniagaan Kerja Kursus Akaun 2020 Kerja Kursus Perniagaan Spm 2018 Rass Naa Tutorial Kerja Kursus Akaun 2020 Freeaudiogujaratibhaja44801s
Cadangan Jangka Pendek Kerja Kursus Akaun
Kerja Kursus Prinsip Perakaunan 2021
Penghargaan Folio Akaun T5 2015 Pdf
Rumusan Kerja Kursus Akaun Spooasyc
Contoh Kerja Kursus P Akaun Tahun 2011
Contoh Kerja Kursus P Akaun Tahun 2011
Contoh Kerja Kursus P Akaun Tahun 2011
1 Pengenalan Kerja Kursus Prinsip Perakaunan Pdf
1 Pengenalan Kerja Kursus Prinsip Perakaunan Pdf
Rumusan Kerja Kursus Akaun Pdf
Contoh Jawapan Kerja Kursus Prinsip Perakaunan Tingkatan 4 2016 Adinasinc
Kerja Kursus Prinsip Perakaunan Tingkatan 5 Langkah Pelarasan1 Pdf

